FAMOZNI "NON PEJPER": Slovenački mediji objavili dokument za koji tvrde da predviđa raspad BiH

Новости онлине

15. 04. 2021. u 10:38

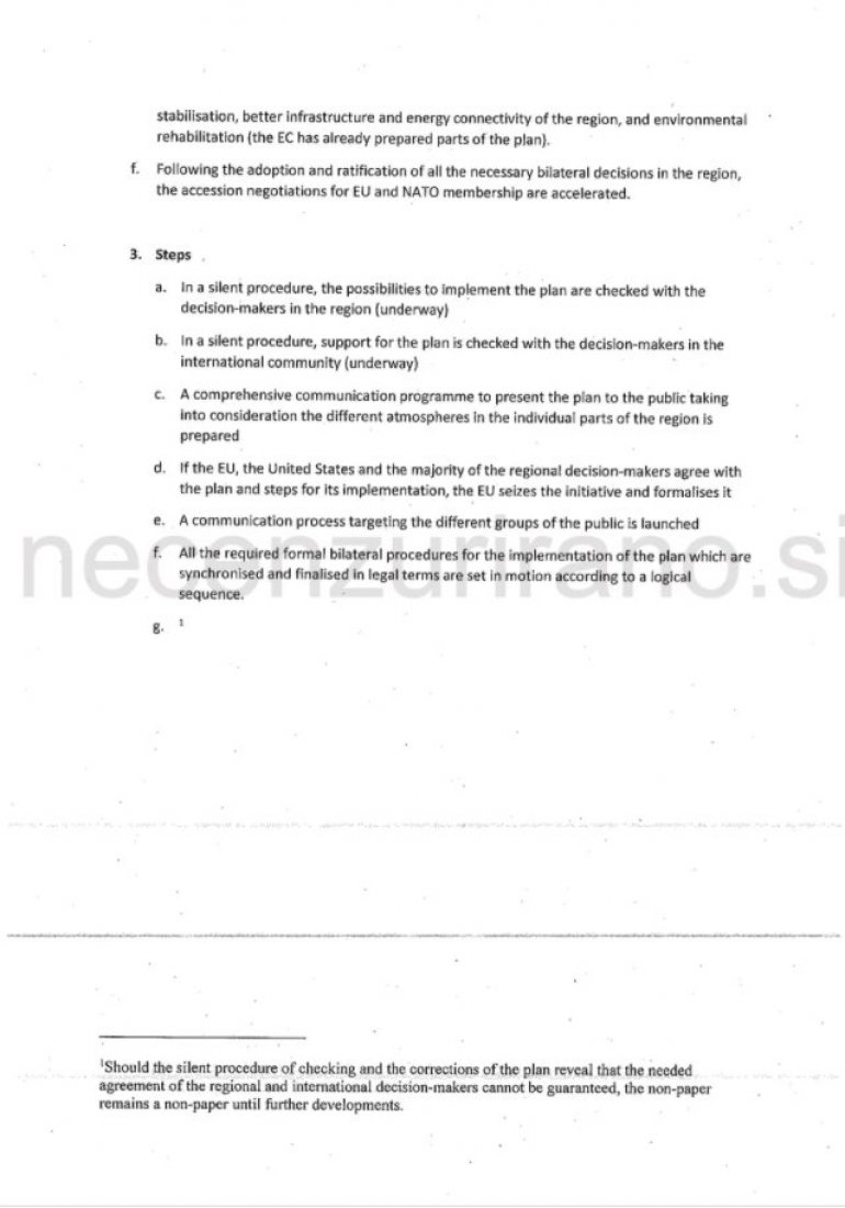
SLOVENAČKI mediji objavili su "non pejper", odnosno neslužbeni diplomatski dokument koji govori o idejama za raspad Bosne i Hercegovine, ujedinjenje Republike Srpske i Srbije, kao i planove za južnu srpsku pokrajinu.

ФАМОЗНИ НОН ПЕЈПЕР: Словеначки медији објавили документ за који тврде да предвиђа распад БиХ

Foto: Depositphotos/Nezavisne.com

Od ponedeljka se u regionu spekulio tome da li je premijer Janez Janša zaista poslao neslužbeni diplomatski dokument ("non-pejper") u Brisel, koji govori o novom iscrtavanju granica na području bivše Jugoslavije.

Niko službeno nije potvrdio da je predsednik Evropskog saveta Šarl Mišel od Slovenije dobio dokument takvog sadržaja. Ali neslužbeni diplomatski dokument koji predviđa raspad Bosne i Hercegovine, pripajanje Republike Srpske Srbiji i ujedinjenje tzv. Kosova sa ​​Albanijom zapravo postoji.

Prema njihovim informacijama, dokument pod nazivom "Zapadni Balkan - put napred" dostavljen je kabinetu Šarla Mišela u februaru.

Ko je napisao "non pejper" ne može se zvanično znati. Prema izvorima slovenačkih novinara, on sigurno nije skrojen u Ministarstvu spoljnih poslova te zemlje.

Deo njegovog sadržaja mogao je biti napisan, prema nekim informacijama, u Budimpešti. Ipak, u briselskim diplomatskim krugovima o njemu se govori kao o "slovenačkom" dokumentu, jer je navodno Janšin kabinet učestvovao u slanju na razne adrese.

Budući da se radi o neslužbenom diplomatskom dokumentu namenjenom komuniciranju različitih stavova i inicijativa bez službenog karaktera, nema ni zaglavlje ni potpis. Šarlu Mišelu nije dostavljen službenom diplomatskom poštom, pa se njegovo postojanje može u bilo kom trenutku javno poreći.

Stoga to nije službeni stav Slovenije, već samo jedan od neformalnih predloga za moguće rešenje pitanja koja se tiču ​​zemalja bivše Jugoslavije. 

Foto: Necenzurisano.com

U uvodu dokumenta se pominju "nerešena nacionalna pitanja Srba, Albanaca i Hrvata" koja su se pojavila nakon raspada Jugoslavije. Autori dokumenta ističu da čak i nakon uspostavljanja mira nakon završetka ratova, obećanih evropskih perspektiva i napretka Severne Makedonije i Crne Gore u ovom pravcu u regionu, "ključna pitanja ostaju nerešena". Ovo su ta pitanja:

  • da je Dejtonski sporazum 1995. godine, kojim je okončan rat u Bosni i Hercegovini, koji je odneo više od 100.000 života, praktično prepoznao ono što je postignuto u ratu, ali ne u principu
  • da je trenutno teško zamisliti evropske perspektive Srbije i (tzv.) Kosova
  • da se članstvo BiH u EU može u potpunosti isključiti
  • da je u međuvremenu prazan prostor iskoristila Turska, koja je povećala svoj utjecaj u BiH i Severnoj Makedoniji
  • da osim Turske, nekolicine lokalnih političara i njihovih pristalica koji lično imaju koristi od haosa i nefunkcionalnih institucija, niko nije zadovoljan situacijom u BiH

Ključni deo "non pejpera" su predložena "rešenja" za prethodno opisane probleme.

Autori dokumenta naglasili su da Srbija, Hrvatska i Albanija trenutno imaju stabilne vlade i da su njihovi izabrani političari sposobni donositi strateške odluke.

Šta je predloženo?

Ujedinjenje tzv. Kosova i Albanije. "Na Kosovu se 95 posto stanovništva želi ujediniti s Albanijom. Slična je situacija i u Albaniji. Granica između Albanije (članice NATO-a) i tzv. Kosova praktično ne postoji. Srpski deo Kosova dobio bi poseban status - po uzoru na Južni Tirol", navodi se u dokumentu. To je autonomna pokrajina u severnoj Italiji, gde većina stanovništva govori nemački.

Foto: Necenzurisano.com

Ujedinjenje većine teritorije Republike Srpske sa Srbijom. "Srpsko nacionalno pitanje može se u velikoj meri rešiti pripajanjem dela Republike Srpske Srbiji. U ovom slučaju, Srbija je spremna pristati na ujedinjenje tzv. Kosova i Albanije", navodi se u dokumentu.

"Hrvatsko nacionalno pitanje može se rešiti spajanjem većine hrvatskih kantona u BiH s Hrvatskom ili davanjem posebnog statusa hrvatskom delu BiH (po uzoru na Južni Tirol)."

"To bi Bošnjacima dalo nezavisnu državu i preuzeli bi punu odgovornost za nju. Na referendumu bi ljudi odlučivali da li će se pridružiti EU ili budućnosti izvan EU (sledeći primer Turske). Za sada velika većina Bošnjaka podržava u perspektivi EU, a u naglom porastu turskog uticaja i radikalnog islama, situacija bi se mogla drastično pogoršati u sledećoj deceniji".

Prema autorima "non pejpera", ova "rešenja" ubrzala bi pregovore o članstvu zemalja Zapadnog Balkana u EU i NATO-u.

Pratite nas i putem iOS i android aplikacije

Pratite vesti prema vašim interesovanjima

Novosti Google News
TA KUĆA JE STVARNO UKLETA Majci i ocu prerezao grkljan, pa sebi isekao vene: Novi detalji porodične tragedije u Čačku

"TA KUĆA JE STVARNO UKLETA" Majci i ocu prerezao grkljan, pa sebi isekao vene: Novi detalji porodične tragedije u Čačku

PRVI rezultati istrage tragedije koja je otkrivena u subotu ujutru u porodičnoj kući u blizini „Slobodine“ raskrsnice u Čačku, govore da je Vladimir Čarapić (47) nožem preklao vrat svojoj majci Mili (72), a potom i svom ocu Neđu (79). Zatim je sebi istim sečivom naneo više uboda po grudima i stomaku, a na kraju je prerezao vene leve ruke i tako na smrt iskrvario.

07. 12. 2025. u 13:36

Završio glumu, pa radio na mešalici, rat ga udaljio od ljubavi - životni put Jova Maksića

Završio glumu, pa radio na mešalici, rat ga udaljio od ljubavi - životni put Jova Maksića

DETINjSTVO glumca Jova Maksića oblikovalo se u maloj seoskoj sredini podno Dinare, u selu Plavno kod Knina, gde je porodica živela zbog očevog svešteničkog službovanja. Rani period života opisuje kao vreme potpune slobode i radosti, kada je gotovo čitavo selo bilo prostor za igru i maštarije. U takvoj atmosferi formirala se njegova emotivna struktura — vezanost za zajednicu, toplina porodičnih odnosa i zahvalnost za jednostavne stvari.

07. 12. 2025. u 11:41

Komentari (4)

POSLE NEKOG VREMENA: Nebojša Pajkić u javnosti- evo kako danas izgleda (FOTO)